Manganese Oxide Reacts With Hydrochloric Acid To Form Manganese Chloride Water And Chlorine


Chlorine Is Prepared In The Laboratory By Treating Manganese Dioxi

Chlorine Is Prepared In The Laboratory By Treating Manganese Dioxi

Question 862f2 Socratic

Question 862f2 Socratic

Answered Chlorine Gas Can Be Prepared In The Bartleby

Answered Chlorine Gas Can Be Prepared In The Bartleby

Https Www Flinnsci Com Link 5ec00fae345c4834b8fdc097cb7af61f Aspx

Https Www Flinnsci Com Link 5ec00fae345c4834b8fdc097cb7af61f Aspx

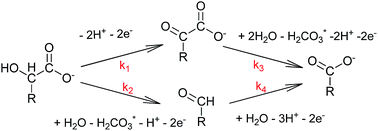
Exploitation Of Kmno4 Material As Precursors For The Fabrication

Exploitation Of Kmno4 Material As Precursors For The Fabrication